介绍
目前有超过 5500 亿美元的资金锁定在加密网络中用于 staking,这项功能至关重要:通过经济一致性来保护区块链网络。然而,这种方法本质上是低效的,并最终导致整个加密领域的分裂——用于安全目的的资产变得孤立,并从更广泛的生态系统中移除,无法参与 DeFi、治理或跨链活动。这种碎片化迫使网络在安全性和资本效率之间做出根本性的权衡。
共享安全通过从底层安全功能中 抽象抵押品来解决这一权衡。该方法优雅地建立在传统 staking 系统的两个核心原语之上:stake 验证和 slashing 惩罚。这种 抽象为区块链系统开启了一个广阔的全新设计空间。虽然并非详尽无遗,但本研究旨在通过实际案例研究来探索这个设计空间,展示 Symbiotic 和更广泛的抵押品 抽象机制可以释放的潜力。
Symbiotic vaults 构建在现有 staking 系统之上,使任何资产都可以用作抵押品,同时保持其全部功能——无论是参与 DeFi 的 staked ETH,还是保持投票权的治理代币,亦或是来自其他区块链生态系统的复杂衍生品。该系统的架构采用专门的 burner 合约来处理 stake 评估和 slashing,即使对于复杂的多功能资产也能确保强大的安全保障。要理解这种设计的意义,首先要检查其基本概念:stake 本身。
到底什么是 stake?
Stake 通过可验证的承诺来创建经济一致性。虽然传统上仅限于原生代币,但 Symbiotic 允许任何资产通过原生或基于预言机的评估方式来充当 stake。
Stake 通过经济一致性来保证诚实,从而直接衡量信任。当参与者以符合网络最佳利益的方式行事时,他们会在经济上获益;当他们以不利于网络的方式行事时,他们将面临惩罚。这一核心安全原则要求攻击网络的成本始终超过潜在的回报。这种一致性可以通过单纯的拥有(软一致性)或通过直接访问要求(传统 staking)来实现。
传统的 staking 实现方式将网络的原生代币锁定在系统内,并将其分配给运营者余额。这种基本模型包含两个重要的安全功能:时间锁定的提款和针对不当行为的 slashing 条件。然而,stake 的概念可以超越原生代币,涵盖更复杂的工具,包括衍生品、DeFi 头寸和其他复杂资产。
为了便于分析,这些工具统称为“资产”,它们的代币化表示形式被描述为“抽象的 stake”。Symbiotic vaults 接受任何 wrapped ERC20 代币作为 stake,并通过原生系统或基于预言机的系统对其进行评估。
原生代币评估遵循两条路径:直接接受,即以其自身的单位衡量 staking 衍生品的价值;或Hook接受,即与另一个代币保持 1:1 的关系。DeFi 头寸和其他动态资产引入了额外的复杂性,通常需要积极管理以维持其 ETH Hook。为了确保稳定性,这些系统可以辅以额外的机制,例如存款或保险层。

基于预言机的评估为管理 抽象的 stake 提供了一种替代框架。这种方法允许网络利用预言机报告的价值来进行 stake 验证和奖励计算。虽然实现方式从简单的 view 函数到专用的 attestation 网络不等,但关键的设计挑战在于在可靠的价值报告和高效的传播之间取得适当的平衡。

跨网络场景在 stake 价值管理中引入了独特的挑战。虽然来自外部网络的资产在其源网络中维护其价值数据,但它们必须在以太坊上的中间件层中保持可访问性。这需要在源网络和 stake 利用点之间建立可靠的价值传输通道。
DeFi 头寸
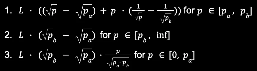
Uniswap V3 头寸展示了如何通过精确的估值公式和灵活的 burning 机制,将复杂的 DeFi 资产用作 stake。
Uniswap V3 头寸提供了一个极好的案例研究,说明了如何使用复杂的 DeFi 资产作为 stake,因为它们结合了精确的数学估值和动态的、市场驱动的价值。考虑一个在 X/Y 交易对中的头寸(其中 X 代表 USD,Y 代表 ETH),以价格区间 [p_a, p_b] 中的 X 来评估。头寸以美元计价的价值遵循三个不同的公式,具体取决于当前价格 p:

这些公式捕捉了基本的头寸动态:价值随着 Y 的增加而增加,直到达到一个常数,而随着 Y 的下降而无限下降。虽然基本计算不包括累积的奖励,但这些可以通过补充智能合约逻辑来纳入。这个公式可以在预言机系统中使用,以跟踪 stake 的价值。
LP 头寸是自动做市商池的单时代币份额表示。在 Uniswap 的情况下,它表示为一个 NFT。像任何其他类型的资产一样,它可以在 Symbiotic 中用作 stake,只要它是可以被 slashing 的。Symbiotic vault 系统实现了 Burner 合约,通过以下三种机制处理此类头寸的 slashing 事件:
- 直接份额 burning:消除头寸份额
- 头寸 unwinding:在 burning 之前转换为底层代币
- 代币交换和 burn:转换为具有经济建模的指定代币,以防止出现 perverse 激励

Burner 系统也足够灵活,可以实现进一步的优化,例如:
- 带有内置保险机制的衍生代币,可以在保留头寸连续性的同时吸收 slashing 惩罚
- 积极的头寸管理选项,可以在引入 carefully bounded 交易对手风险的同时提高资本效率
我们将在另一篇博文中更深入地探讨 burners。
跨网络 Staking
跨网络 staking 使资产能够保留在其原始网络中,同时通过合成表示和桥接协议来保护目标网络。
跨网络 staking 将资本效率扩展到单个网络边界之外。虽然传统的桥接需要将代币在网络之间移动以进行委托,但 Symbiotic vaults 可以直接与桥接协议集成,以实现原生网络的资产利用。这为使用 EVM 之外的资产打开了机会。
核心的实施挑战在于跨网络 slashing。Symbiotic vaults 部署自定义的 burner 合约,用于处理跨网络边界的 slashing 请求,桥接协议在原始网络中执行相应的代币 burn。Slashing 异步运行,将本地 抽象的 burns 转换为原始网络的代币 burns。

该机制展示了抵押品 抽象的核心原则:物理代币保留在其原始网络中,而 抽象的表示形式在目标网络中用作 stake。slashing 过程通过桥接协议异步运行,将本地 抽象的 burns 转换为原始网络中的真实代币 burns。虽然这些原始网络的 burns 并非绝对必要——代币可能只是变得不活跃——但此实现展示了 burner 系统在处理跨网络 stake 管理方面的灵活性。

这种基本设计可以通过多层代币利用进一步扩展。如图所示,原生代币可以转换为 stTokens 以参与原始网络上的 DeFi,同时 mint rsTokens——重新 staking 的衍生品,桥接到以太坊用于 Symbiotic vaults。这些 rsTokens 将保持 1:1 的平价或根据协议要求实施基于预言机的估值。
stToken 的估值可以来自 DeFi 池的定价或 LST 协议参数,重点关注在 slashing 事件期间对价值波动进行建模。历史 slashing 模式和预计的幅度会影响风险参数设计。
跨网络通信架构优先考虑三个关键方面:
- 消息路由拓扑
- 传播延迟
- 最小化信任

除了连接完全隔离的网络之外,rollup 网络提供了一个最佳的实现,利用现有的原生以太坊通信渠道。Slashing 事件通过 InputBox 合约直接流向网络的 LST 协议,创建具有可预测的最终性保证的最小化信任执行路径。虽然前面的示例展示了高效的跨网络 stake 管理,但抵押品 抽象的原则超越了简单的代币转账或 DeFi 头寸。网络原生资产,特别是治理代币,为 stake 效用扩展提供了独特的机会。通过检查它们的实现,我们可以探索抵押品 抽象如何实现跨多个协议功能同时利用相同的资产。
治理代币
Symbiotic 使治理代币能够同时发挥多种功能——在提供 stake 安全保障的同时,保持投票权和 vesting 计划。
治理代币提供了一个通过抵押品 抽象来提高效率的独特机会。这些代币优先考虑协议内的效用:通过投票进行治理,通过 vesting 实现战略一致性,以及通过 staking 来实现安全,例如在安全模块中。以前,持有者必须在参与治理或选择退出以参与 DeFi 之间做出选择。抵押品 抽象统一了所有这些功能,使治理代币更有用。

vault 系统通过将 staked 治理代币转换为 vTokens 实现这种统一——vTokens 是代表 vault 按比例份额的非增发 ERC20 代币。vToken 的数量在 vault 活动期间(存款、取款、slashing)保持不变,从而提供稳定的 stake 表示。这些代币通过 Vault view 函数映射到基础治理代币,创建一个具有历史跟踪功能的链上价格预言机。此设计使 vTokens 能够与原生治理代币一起参与 vesting 机制,在 staked 时保持全部效用。
治理代币可以从直接 staking 扩展到 DeFi 应用程序,在这些应用程序中,它们的 LP 头寸可以用作 stake 抵押品。这些头寸保持 vesting 兼容性,但与标准代币 vesting 机制相比,它们需要额外的实现复杂性。
在此实现中,VoteCaster 合约直接与 governor 合约(例如 Aragon、Tally 或 OpenZeppelin)交互,从而合并用于计算投票权的等效治理余额。值得注意的是,这种方法需要能够访问所有这些代币的历史数量。Symbiotic vaults 的内置状态跟踪机制原生支持这一点。
什么是抵押品 抽象?
上述这些实现只是新兴研究领域的冰山一角,并且可以组合使用。Symbiotic 的模块化设计通过 抽象实现了灵活性,从而为众多其他可能性打开了大门:提高 veToken 的效用,通过复杂的 DeFi 策略增强安全性等等。最终,抵押品 抽象可以通过三个核心组件来定义:
- 抵押品:非增发 ERC20 代币,它们要么与外部资产保持直接的价值关联,要么实现独立的估值机制
- Vault:管理层,负责处理 stake 管理、头寸跟踪和价值验证
- Burner:可配置的执行合约,用于实现跨不同 stake 类型的 slashing 逻辑
这种架构改变了区块链网络中的资本效率。通过将 stake 组成从简单的代币锁定扩展到包括衍生品、DeFi 头寸和跨网络资产,抵押品 抽象消除了网络安全和资本效用之间的传统权衡。Symbiotic 的实现允许资产保留在其原生生态系统中,同时通过其 vault 和 burner 系统保持安全保证。
从 DeFi 头寸到治理代币系统,所探索的实现代表了对此设计空间的早期探索。模块化架构在保持强大的安全假设的同时实现了自定义。网络构建者可以创建新颖的实现,运营者可以优化资本部署,研究人员可以探索新的安全模型。
我们邀请社区在此基础上进行构建。抵押品 抽象的设计空间在很大程度上仍未被探索,机会范围从新型资产到新型安全机制不等。如果你有兴趣了解更多信息或与 Symbiotic 合作,请在此处与我们联系:here。
- 原文链接: blog.symbiotic.fi/buildi...
- 登链社区 AI 助手,为大家转译优秀英文文章,如有翻译不通的地方,还请包涵~